
수열의 귀납적 정의에 대해서 살펴봅니다.
먼저 귀납에 대해서 알아야하는데, 귀납의 대략적인 뜻은 특수한 사례를 가지고 일반적인 경우까지 고려하는 것입니다.
귀납법이란,
개별적인 특수한 사실이나 현상에서 그러한 사례들이 포함되는 일반적인 결론을 이끌어내는 추론 형식의 추리방법이다.
-위키백과-
그러니까 수열에 적용하면,
수의 나열 즉 몇 개의 항만 나열해보고 그 다음부터는 계속 같은 규칙으로 나열할 수 있도록 정의하는 것입니다.
간단히 생각하면 규칙을 수식으로 표현했다고 생각하면 됩니다.
예를 들어, 등차수열의 귀납적 정의를
항과 항 사이의 차이가 일정하다는 것을
수식으로 사용해서 적어보면 다음과 같습니다.

대표사진 삭제
사진 설명을 입력하세요.
그렇지만 우리가 배운 임의의 연달아 나열되어 있는 세개의 항을 가져올 때마다 등차중항을 만족하는 규칙을 설명해도 괜찮습니다. 즉 다음과 같이 등차수열의 귀납적 정의는 세 개의 항이 있을 때, 가운데 항은 양 끝의 항의 합의 2배가 된다를 규칙으로 적으면 다음과 같습니다.

대표사진 삭제
사진 설명을 입력하세요.
수열의 귀납적 정의에서 귀납의 의미처럼 처음 몇 개의 항은 나열해줘야합니다.
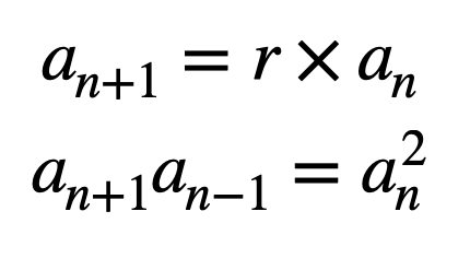
역시나 등비수열에서도 같은 방법으로 적어보면 다음과 같습니다.

대표사진 삭제
사진 설명을 입력하세요.
어떤 수열의 규칙성을 남겨두고 후발 주자가 이 수식을 보고 수열을 만들어 낼 수 있게 되니까,
수열을 만들 수 있도록 수열의 귀납적 정의를 만들어두는 것이라고 생각하면 됩니다.
하지만 수열의 귀납적 정의로는 쉽게 일반항(관계식) 찾을 수 없습니다.
따라서 몇 가지 특수한 사례에서만 일반항을 찾기 쉽다는 점 생각해두면
우리가 필요에 따라 그런 특수한 귀납적 정의로부터 일반항을 찾는 방법을 배우면 됩니다.
편집에 시간이 너무 많이 들어서, 현재는
유튜브 영상은 월 수 금 6:00~6:30에 라이브로 송출하고 있습니다.
| 알고 있는 수열로 모르는 수열을 분해하라 | 시그마의 성질응용 | 수학1 (0) | 2021.03.30 |
|---|---|
| 자연수 거듭제곱의 합 공식증명 | 시그마로 표현 | 수학1 (0) | 2021.03.23 |
| 풀어내면 나오는 | 시그마의 성질 | 수학1 (0) | 2021.03.18 |
| 4가지 개념을 하나로 | 시그마 기호 | 수학1 (0) | 2021.03.13 |
| 공비를 고려해서 가능한 한 많이 중복시키자 | 등비수열의 합 (0) | 2021.03.02 |