오늘은 시그마의 성질을 응용하여 모르는 수열을 알아가는 과정을 살펴보려고 합니다.
먼저, 다음 수열을 살펴보세요.
2, 6, 12, 20, 30
오늘도 5개의 항이지만 많은 항이 나열되어 있다고 생각하면서 살펴보세요.
수열을 보는 순간 규칙을 찾아야겠다고 생각하는 것이 자연스러운?! 학습의 결과입니다.
등차수열, 등비수열이 아님을 확인하셨나요?
혹시 심화과정으로 계차수열을 배웠다면 사용하셔도 괜찮습니다.
처음 보는 수열이라면 n=1, n=2 등등 어떻게 항이 달라지는지 관찰하세요.
수학에서 너무 당연해서 언급하지 않지만 "관찰력"은 기본적인 능력입니다.
2는 1과 2의 곱
6은 2와 3의 곱
12는 3과 4의 곱
20은 4와 5의 곱
30은 5와 6의 곱
따라서 일반항은 다음과 같습니다.
일반항: n(n+1)
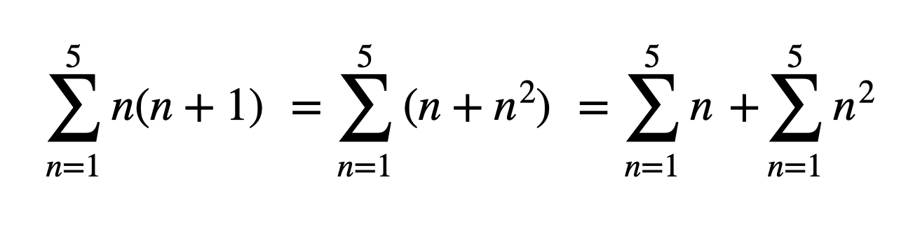
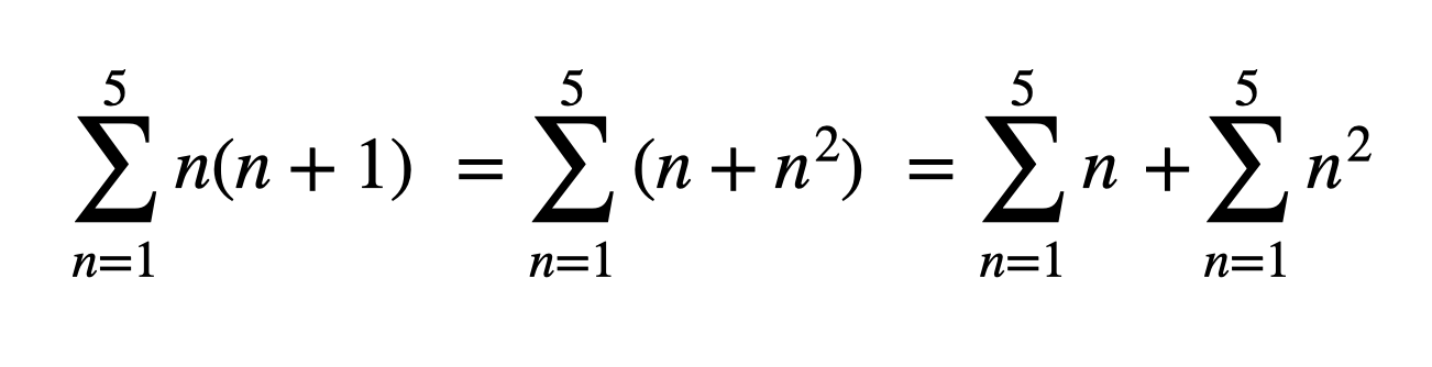
자, 이제 이 수열의 합에 대해서 살펴보려고 합니다.
2+6+12+20+30의 값을 어떻게 하면 정확하고 쉽게 더할 수 있을까요? (물론 많은 항이 있다고 생각하면서 봐주세요)
우리는 최대한 모르는 대상을 아는 대상으로 분해하여 파악하고자 합니다.
시그마의 성질에서 필요에 따라 각 항끼리 먼저 계산하거나 나중에 계산할 수 있다는 사실을 알고 있겠죠.
2는 1+1
6은 2+4
12는 3+9
20은 4+16
30은 5+25
이렇게 2+6+12+20+30을
(1+1)+(2+4)+(3+9)+(4+16)+(5+25)로 바라본다면,
(1+2+3+4+5)+(1+4+9+16+25)로 생각할 수 있습니다.
자, 이제 우리가 아는 자연수의 거듭제곱의 합을 사용할 수 있겠죠?
지난 시간에 이미 우리는 배웠습니다.
따라서 1+2+3+4+5=15 이고 1+4+9+16+25는 55입니다.
즉, 2+6+12+20+30=15+55=70이라는 사실을 얻게 되는 것입니다.
많은 친구들이 공식을 바라볼 때, 왼쪽에서 오른쪽으로만 바라봅니다.
하지만 오른쪽에서 왼쪽으로 바라보는 것도 가능해야 합니다.
이 아이디어를 식으로 정리하면,

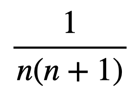
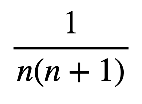
또 하나를 더 살펴보려고 합니다.
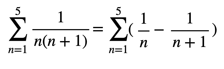
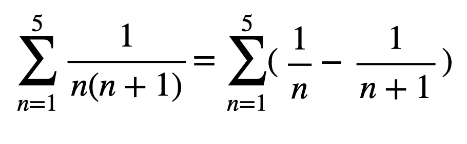
그것은 바로 방금 주어진 수열의 역수를 생각하는 것입니다.

자, 일반항은 앞에서 얻은 것을 역수로 바꾸면 됩니다. (알고 있는 것이 있으면 이렇게 편합니다?!)

이 수열의 합을 편하게 계산하려면 어떻게 해야 할까요?
아마도 처음 해야 할 일이 통분이라고 생각해야 합니다.
그리고 우리는 '통분'에서 아이디어를 찾게 됩니다.
그것은 바로 '부분 분수'입니다.
저는 이것을 '통분의 역방향'이라고 말합니다.

다음 부분분수 공식은 양변에 B-A를 곱하면
우변의 식을 통분하여 좌변의 식을 얻게 되는 과정에서 비롯합니다.
수열의 합에서 중요한 것은 "뺄셈"으로 이루어져 있다는 사실입니다.
이를 적용해서 위에 분수들을 더해봅시다.
먼저 부분 분수로 각 항들을 바꿔서 생각해보면,





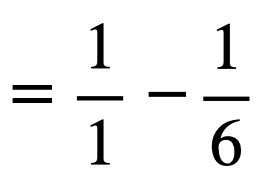
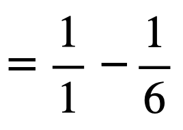
수열의 합은 역시, 같은 항들이 많이 출현하고 제거되는 것이 편합니다.
지금도 모두 더하면 처음과 끝만 남는 것을 볼 수 있습니다.
이러한 아이디어를 식으로 표현하면 다음과 같습니다.


아래 유튜브 영상으로 확인해보세요.
| 미래에도 계속 그 규칙 그대로 | 수열의 귀납적 정의 (0) | 2021.04.07 |
|---|---|
| 자연수 거듭제곱의 합 공식증명 | 시그마로 표현 | 수학1 (0) | 2021.03.23 |
| 풀어내면 나오는 | 시그마의 성질 | 수학1 (0) | 2021.03.18 |
| 4가지 개념을 하나로 | 시그마 기호 | 수학1 (0) | 2021.03.13 |
| 공비를 고려해서 가능한 한 많이 중복시키자 | 등비수열의 합 (0) | 2021.03.02 |