오늘은 많은 친구들이 지나가는?! "자연수 거듭제곱의 합 공식 증명"에 대해서 살펴보려고 합니다.
우리는 항등식을 가져와서 증명을 하는 것이 일반적입니다.
사실 핵심은 우리가 아는 공식으로부터 모르는 공식을 도출하기 위한 방법입니다.
증명과정은 글보다는 영상이 효율적이므로 영상을 통해 확인하길 바랍니다.
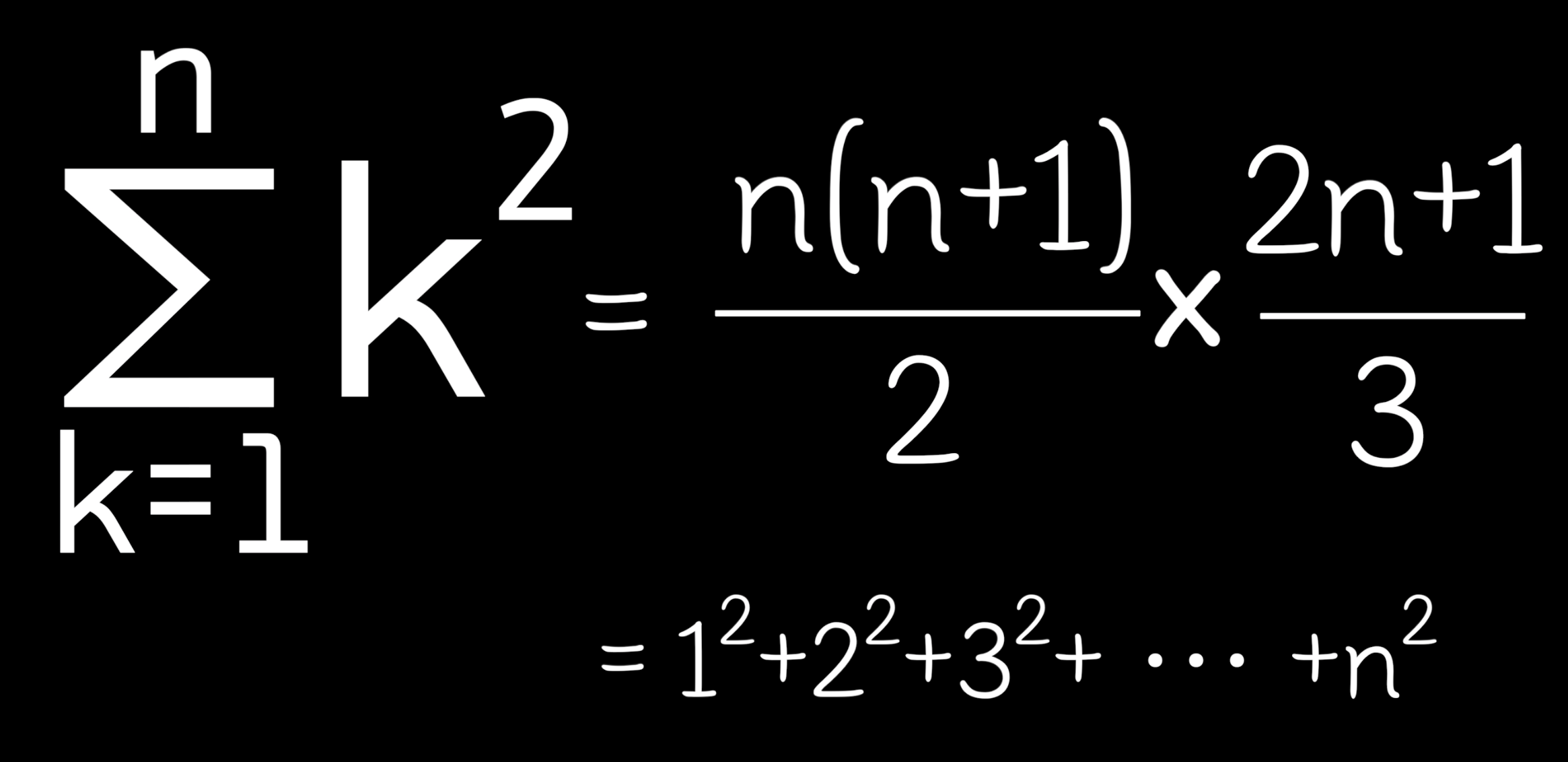
우리가 암기하고 활용해야 할 공식은 다음과 같습니다.
| 미래에도 계속 그 규칙 그대로 | 수열의 귀납적 정의 (0) | 2021.04.07 |
|---|---|
| 알고 있는 수열로 모르는 수열을 분해하라 | 시그마의 성질응용 | 수학1 (0) | 2021.03.30 |
| 풀어내면 나오는 | 시그마의 성질 | 수학1 (0) | 2021.03.18 |
| 4가지 개념을 하나로 | 시그마 기호 | 수학1 (0) | 2021.03.13 |
| 공비를 고려해서 가능한 한 많이 중복시키자 | 등비수열의 합 (0) | 2021.03.02 |