오늘은 수열의 합과 일반항 사이의 관계에 대해서 알아봤습니다.
먼저, 일반항이 2차식으로 구성된 수열을 가져옵니다.
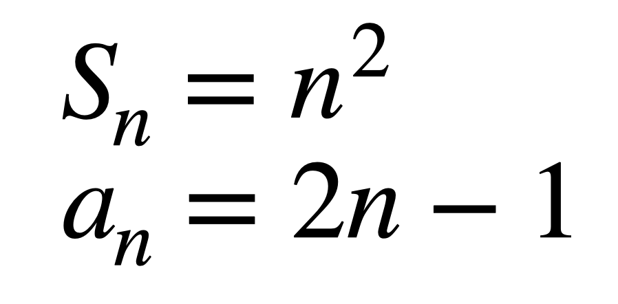
특별히

인 일반항을 가져왔습니다.
수열은 1, 4, 9 , 16,... 이렇게 구성됩니다.
이 수열은 어떤 규칙 즉 어떻게 만들어졌을까요?
특별히 우리는 수열을 다른 수열의 합으로 생각해보고 다음과 같이 표현할 수 있습니다.

합이라는 뜻의 Sum의 첫 글자 S를 사용해서 다른 수열의 제1항부터 제 n항까지의 합을 표현할 수 있습니다.
이제 우리는 등차수열처럼 항과 항 사이의 관계를 분석할 필요가 있습니다.

여기서 첫째항은 별도로 구해야한다는 점을 주의하셔야 합니다.

이러한 방식으로 살펴보면, 우리가 제시했던 수열을 만들어주는 다른 수열의 일반항은

여기서 우연히, 첫째항이 일치했습니다.
그러므로 우리는 수열의 합이 주어졌을 때, 일반항을 구하기 위해서
첫째항을 구하고, 항과 항 사이의 차이를 구하면
기존 수열의 일반항을 구할 수 있습니다.
| 몇 칸 건너갔어? | 등비수열의 일반항 (0) | 2021.02.19 |
|---|---|
| 등차수열과 등비수열의 비교 | 등비수열의 뜻 (0) | 2021.02.17 |
| 일반항을 사용하지 않고 정답 구하기 | 등차수열의 일반항 | 문제풀이편 (0) | 2021.02.03 |
| 수학1 등차수열의 합 (0) | 2021.01.31 |
| 등차수열의 전형적인 2문제 (0) | 2021.01.28 |