1. 다항식
1) 다항식의 연산
(1) 다항식의 덧셈, 뺄셈, 곱셉 그리고 나눗셈
③ 다항식의 곱셈
③ 다항식의 곱셈
A. 방법 (다항식의 곱셈)
B. 다항식의 곱셈의 성질
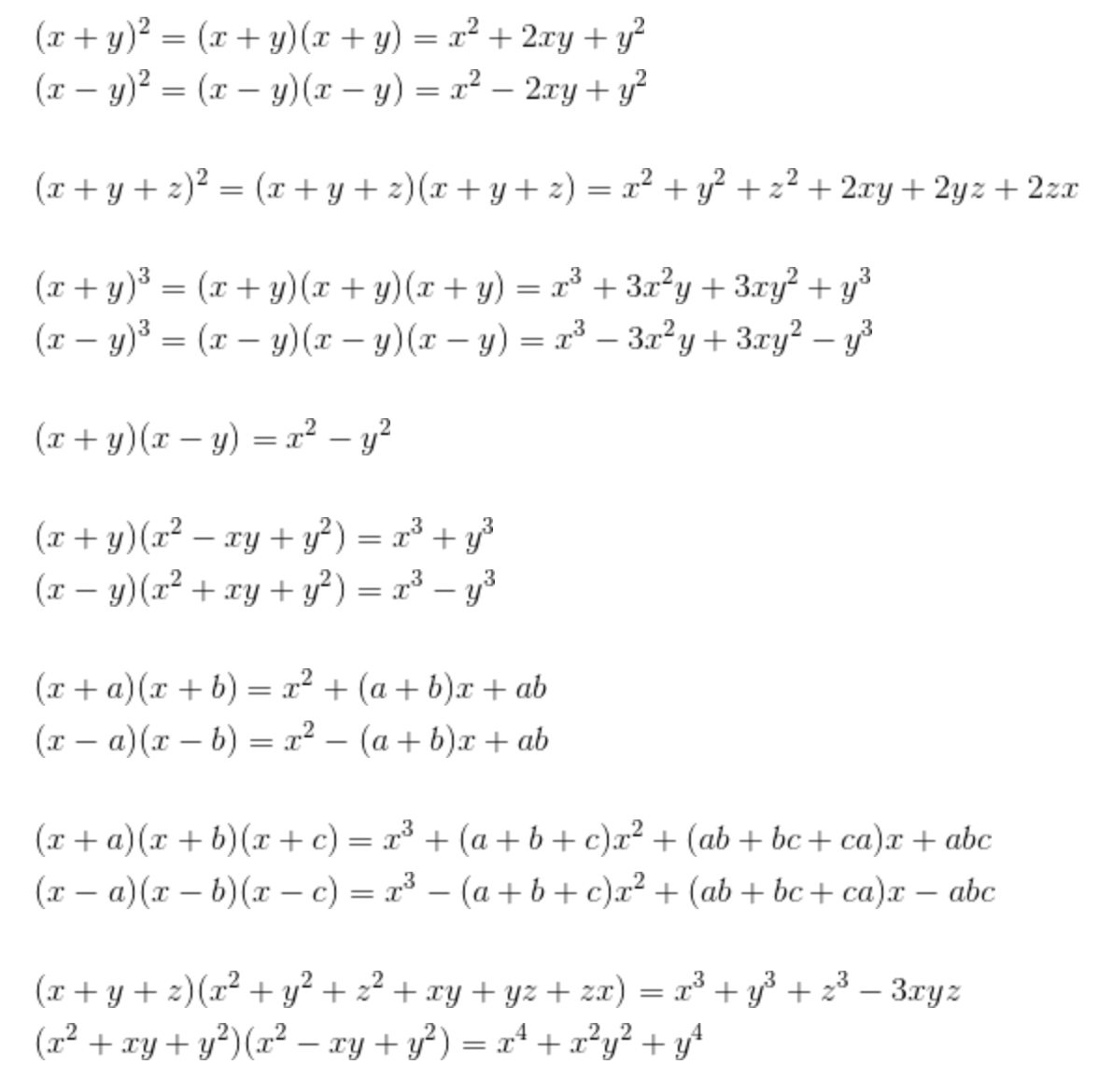
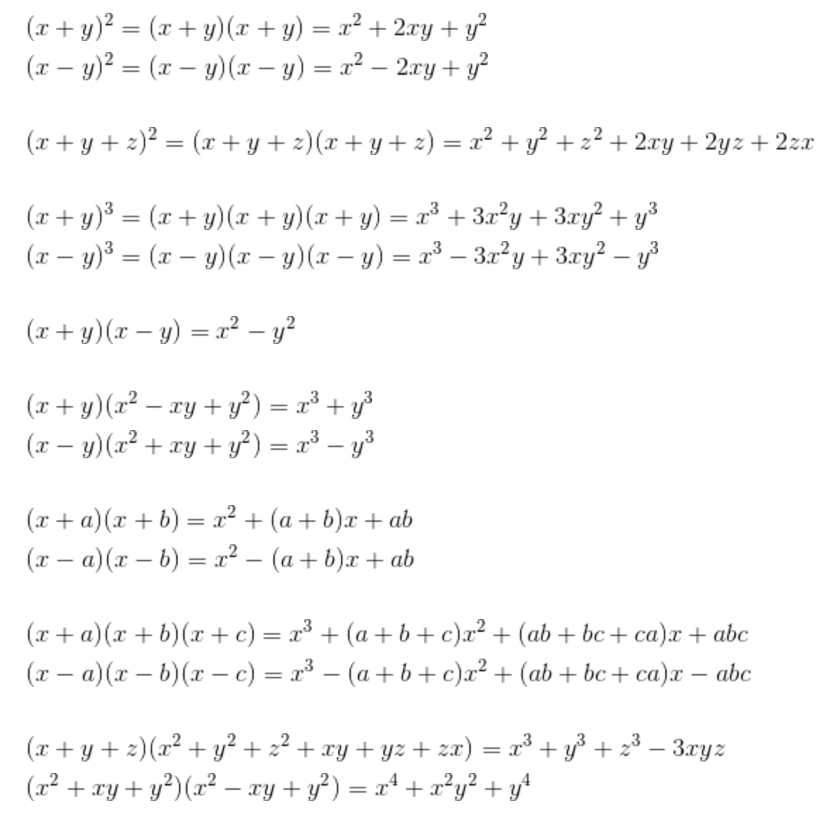
C. 곱셈 공식
③ 다항식의 곱셈
A. 방법 (다항식의 곱셈)
첫째, 전개한다.
둘째, 다항식의 덧셈과 뺄셈 방법을 이용
첫째, 뺄셈은 각 항의 부호를 (+) → (-) 변경
둘째, 동류항 정리
셋째, 다항식의 정리 (문자와 내림/오름차순을 선택)
※ 전개는 다음과 같다.
※ 전개는 중학교에서 배운 내용과 다르지 않다.
B. 다항식의 곱셈의 성질
| 다항식 X, Y, Z에서 XY=YX는 (곱셈에 관한) 교환 법칙이라 하고 (XY) Z=X(YZ)는 (곱셈에 관한) 결합 법칙이라 하며, X(Y+Z)=XY+XZ, (X+Y) Z=XZ+YZ (곱셈에 관한) 분배 법칙이라고 한다. |
C. 곱셈 공식

독해진수학
[티스토리-블로그] comprejin.tistory.com
복습을 위해 간단하게 이동중에 내용정리가 필요하거나 문제를 풀다가 필요한 개념을 확인하고 싶을때 이용하면 좋습니다.
[카페] 문제 및 질문 | http://cafe.naver.com/cjmath
문제를 풀다가 모르거나 자세한 설명이 필요한 질문, 상담을 이용하시고 듣고 싶은 개념영상도 요청하실 수 있습니다.
[유튜브] 문제풀이 영상: '독해진수학'을 검색해주세요.
독해진수학의 장수를 위해 구독과 좋아요. 응원댓글을 부탁드립니다.
| 8독 다항식의 나눗셈 (0) | 2019.08.08 |
|---|---|
| 7독 파스칼 삼각형 (0) | 2019.08.07 |
| 5독 다항식의 덧셈과 뺄셈 (0) | 2019.08.05 |
| 4독 다항식의 정리 (0) | 2019.08.04 |
| 3독 다항식의 덧셈, 뺄셈, 곱셈 그리고 나눗셈 (0) | 2019.08.03 |